12 Feb Hyainno® ACE: Un’alternativa all’acido ialuronico iniettabile dall’elevata biodisponibilità
L’acido ialuronico è da sempre considerato uno dei componenti fondamentali presente naturalmente nei tessuti connettivi dell’uomo e di tutti i mammiferi. L’acido ialuronico conferisce alla pelle particolari proprietà di resistenza e mantenimento della forma, e la sua mancanza determina un indebolimento delle strutture cutanee promuovendo la formazione di rughe e di inestetismi. Un aspetto negativo della sostanza è che la sua concentrazione nei tessuti del corpo tende a diminuire con l’avanzare dell’età.
Da parte dei consumatori finali di età compresa tra i 30 e 40 anni, relativamente ai prodotti antietà e anti rughe, è sempre più richiesta l’attività immediata che simuli l’azione dei filler di acido ialuronico iniettabile, uno dei rimedi efficaci al fine di contrastare i segni del tempo e dell’invecchiamento cutaneo (Fig.1).
Figura 1 – Distribuzione dell’Average Revenue Per Account (ARPA) dei consumatori di bellezza medica per età nel 2019
Questa tipologia “invasiva” (filler injection), pur avendo caratteristiche indubbie di raggiungimento del risultato sperato, riporta una serie di fattori negativi: le iniezioni di acido ialuronico che devono essere fatte da personale medico specializzato e il costo che a volte può risultare molto elevato. Inoltre, il necessario utilizzo di aghi sottocutanei al fine di far penetrare l’acido ialuronico o una miscela dei medesimi all’interno delle strutture cutanee a volte non viene ben visto dal consumatore finale.
Il risultato, comunque sia, è immediato e duraturo a livello di attività antirughe, e idratante oltre che rimpolpante del derma.
Oggi è possibile grazie al prodotto Hyainno®ACE, prodotto da TS-Biotech e distribuito in esclusiva in Italia da Deimos Group, avere un’alternativa all’acido ialuronico iniettabile, grazie a una tecnologia che facilita la penetrabilità a livello cutaneo dell’acido ialuronico: Il processo si chiama acetilazione.
La reazione di acetilazione va a modificare la struttura dell’acido ialuronico naturale stesso, introducendo gruppi acetile che vanno ad aumentarne la biodisponibilità sino a 6 volte a livello cutaneo (Fig.2).
Questo incremento è ascrivibile alla presenza di porzioni acetiliche che rendono maggiormente lipofila la struttura polimerica dell’acido ialuronico. È possibile quindi avere un risultato immediato a livello di attività idratante e antirughe comparabile a quello ottenibile con l’acido ialuronico iniettato e senza l’utilizzo quindi di aghi, oltre ad avere un costo meno impattante.
Figura 2 – Aumento della biodisponibilita di Hyainno® ACE rispetto all’acido ialuronico – 6 volte biodisponibile
T1. Composizione e Specifiche tecniche
Le caratteristiche tecniche di Hyainno® ACE (nome INCI: Sodium Acetylated Hyaluronate) sono riportate in Tabella 1.
| Caratteristiche Organolettiche | |
| Aspetto | Polvere |
| Colore | Da gialla a leggermente gialla |
| Odore | Caratteristico |
| Caratteristiche Chimico-Fisiche | |
| Solubilità | Solubile in acqua |
| pH (0,1% in acqua) | 5-8 |
| Assorbanza (420 nm) | ≤0,100 |
| Assorbanza (600 nm) | ≤0,100 |
| Perdita in peso all’essiccazione (%) | ≤10 |
| Contaminanti | |
| Metalli pesanti (ppm) | ≤20 |
| Azoto (%) | ≥2,0 |
| Aresnico (ppm) | ≤2 |
| Caratteristiche Microbiologiche | |
| Conta microbica totale (UFC/g) | ≤100 |
| Lieviti e muffe (UFC/g) | ≤50 |
| Pseudomonas aeruginosa | Negativo/g |
| Staphylococcus aureus | Negativo/g |
| Stabilità e Conservazione
Conservare sigillato in un luogo fresco e asciutto Shelf-life: 2 anni |
|
Tabella 1 • Caratteristiche tecniche di Hyalnno®ACE.
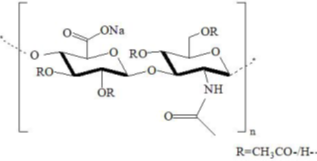
La struttura della formula di Hyalnno®ACE è rappresentata in Figura 3.
Figura 3 – Formula di HyaInno®ACE
T1. Meccanismo d’azione
Durante la fase metabolica, le cellule producono grandi quantità di specie reattive dell’ossigeno (ROS) che vanno a stimolare le cellule medesime a produrre elevate quantità di metallo proteinasi all’interno della matrice cellulare.
L’elevata presenza di metalloproteinasi della matrice (MMP) ricopre un fattore chiave nell’invecchiamento della pelle, poiché MMP 1 e MMP 3 sono coinvolte nella degradazione della matrice intercellulare (ECM), in particolare nelle proteine del collagene di tipo I.
La produzione di MMP aumenta con l’aumentare dello stress cutaneo causato dall’ambiente esterno che porta al collasso e al rilassamento dei tessuti, e quindi alla formazione di rughe.
Hyainno® ACE inibisce efficacemente la generazione di ROS, migliorando l’attività proliferativa dei fibroblasti, proteggendo la matrice extracellulare come collagene ed elastina, e rallentando l’invecchiamento cutaneo.
T1. Efficacia
T2. Studi in vitro
T3. Inibizione dei livelli di ROS
L’irradiazione UVA ha aumentato significativamente la produzione del livello di ROS su 3 cellule T3 rispetto al controllo.
Hyainno® ACE a diverse concentrazioni inibisce significativamente la generazione di ROS alla percentuale dello 0,05% (Fig.4).
Figura 4 – Effetto di inibizione di Hyainno® ACE su cellule 3T3 – Intensità di fluorescenza
T2. Incremento proliferazione dei fibroblasti
La vitalità delle cellule 3T3 diminuisce da 100,1 a 84,7 dopo irradiazione UVA.
Hyainno® ACE a diverse concentrazioni promuove la vitalità delle cellule 3T3, in cui Hyainno ®ACE alla percentuale dello 0,05% offre le migliori prestazioni aumentando la proliferazione cellulare fino a 95,2% (p<0,05) (Fig.5).
Figura 5 – Effetto di Hyainno® ACE sulla vitalità di proliferazione delle cellule 3T3 – Vitalità
T2. Studi in vivo
Sono stati effettuati nuovi test di efficacia clinica, utilizzando una crema contenente Hyainno® ACE allo 0,1%.
T3. Test antirughe 1
Il volontario utilizza una crema contenente lo 0,1% di Hyainno® ACE due volte al giorno per 28 giorni su metà viso, mentre sull’altra metà viene applicato il placebo (Fig. 6).
Figura 6 – Protocollo test antirughe 1 in vivo
La crema con Hyainno® ACE allo 0,1% determina una diminuzione statisticamente significativa della profondità delle rughe e una differenza statisticamente significativa al giorno 28 rispetto al placebo (Fig. 7).
Figura 7– Effetto di Hyainno®ACE allo 0,1% sulla profondità delle rughe e differenza tra T0 e T28 rispetto al placebo
Le immagini di Figura 8 e 9 riportano l’osservazione della zona interessata ingrandita al giorno 0, al giorno 7 e al giorno 28, ove si evidenzia la marcata attività antirughe.
Figura 8– immagini relative alla zona perioculare trattata con 0,1% Hyalnno ace
Figura 9 – immagini relative alla zona perioculare trattata con 0,1% Hyainno ace
T3. Test antirughe 2
Il volontario applica due volte al giorno una crema contenente 0,1% di Hyainno®ACE per 28 giorni sulla fronte e sul collo (Fig. 10).
Figura 10 – Protocollo test antirughe 2 in vivo
La zona trattata viene osservata attraverso ingrandimento, rispettivamente il giorno 0, il giorno 7 e il giorno 28 (Fig.11; Fig.12). Anche in questo caso si evidenzia una marcata attività antirughe nella zona trattata.
Figura 11 – immagini relative alla zona della fronte trattata con 0,1% Hyainno® ACE
Figura 12 – immagini relative alla zona del collo trattata con 0,1% Hyainno® ACE
T1. Sicurezza
Classificazione secondo il Regolamento (CE) n.1272/2008: la sostanza non è classificata secondo il regolamento CLP.
Informazioni relative a rischi particolari per l’uomo e l’ambiente: il prodotto non è stato etichettato a causa della procedura di calcolo del Regolamento 1272/2008/CE.
Direttiva 2012/18/UE sostanze pericolose nominate (Allegato I): la sostanza non è elencata.
T1. Applicazioni e Modalità d’uso
Disperdere in acqua sotto agitazione sotto la temperatura di 50 ℃, sino a completa solubilizzazione. Dose di utilizzo consigliata: 0,05-0,2%.









